• Предмет: Алгебра
  • Автор: zemliansckyivan
  • Вопрос задан 3 года назад

Помогите решить практикум по квадратным уравнениям

Приложения:

Ответы

Ответ дал: 7264384845
1

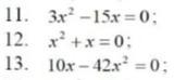
11. x(3x-15)=0

x=0или 3x-15=0

3x=15

x=5

12.x(x+1)=0

x=0 или x+1=0

x=-1

13.x(10-42x)=0

x=0 или 10-42x=0

42x=10

x=0,24

Вас заинтересует