• Предмет: Алгебра
  • Автор: zemliansckyivan
  • Вопрос задан 3 года назад

Помогите решить практикум по квадратным уравнениям

Приложения:

Ответы

Ответ дал: karinad14
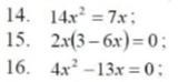
1

Объяснение:

...............................

Приложения:
Вас заинтересует