• Предмет: Алгебра
  • Автор: maryalistopad
  • Вопрос задан 3 года назад

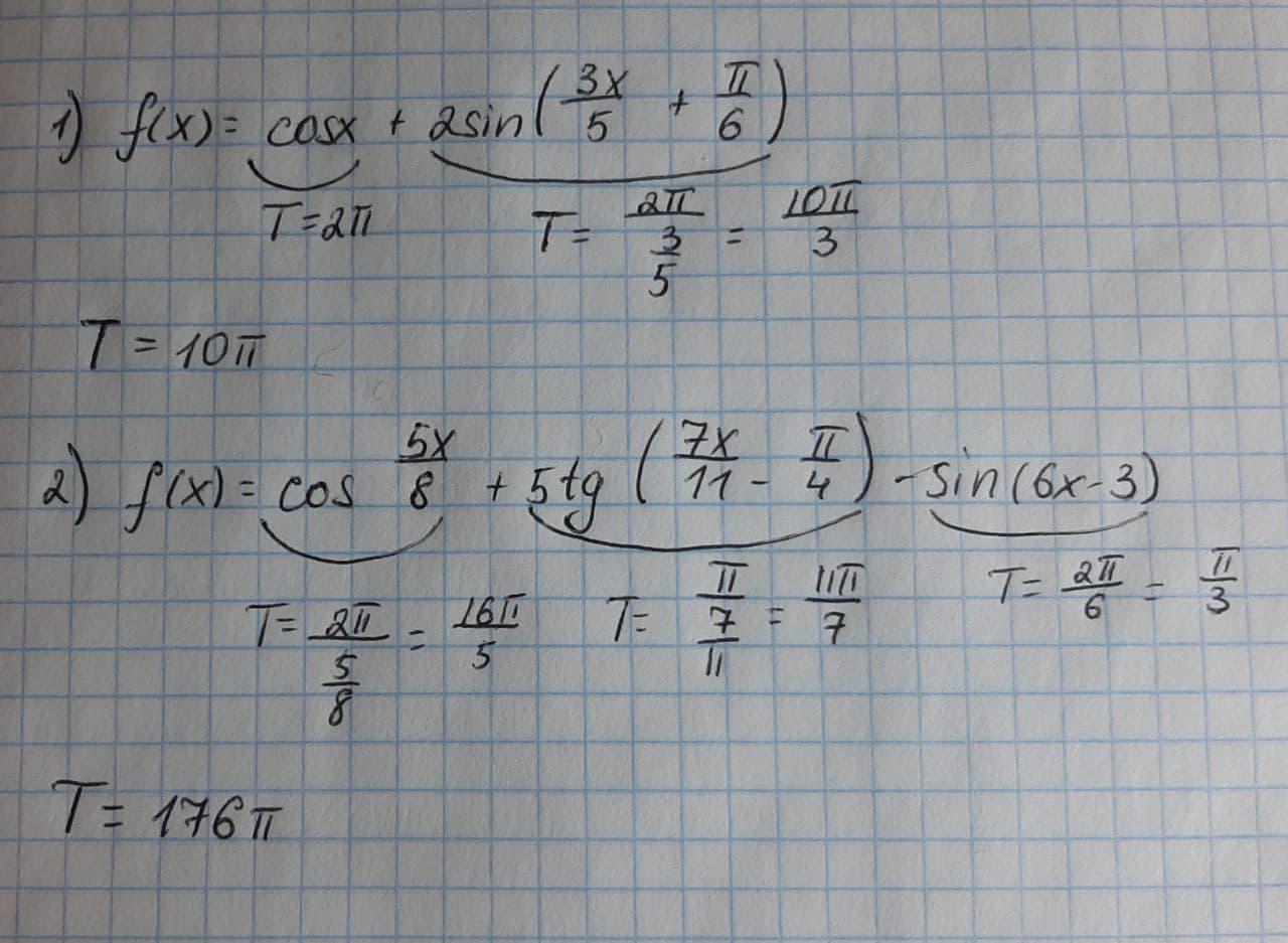
Найдите Период функции!
срочно надо, помогите пожалуйста

Приложения:

Ответы

Ответ дал: sobakazabiyaka
1

Ответ прикрепил на фото ниже.

При нахождении общего периода, ищем наименьшее положительное число кратное всем периодам

Приложения:

maryalistopad: боже, спасибо огромное))
ты замечательный человек, и мой спаситель))
огромное вам спасибо!)❤
sobakazabiyaka: Всегда рад помочь. Главное, чтобы вы понимали ход решения и смогли далее самостоятельно решить)
maryalistopad: да, я уже разобралась. Огромнейшее вам спасибо~
Вас заинтересует