• Предмет: Алгебра
  • Автор: dasha23326
  • Вопрос задан 3 года назад

СРОЧНО РЕШИТЕ ПОЖАЛУЙСТА

Приложения:

Ответы

Ответ дал: dassssssssshka
3

Ответ:

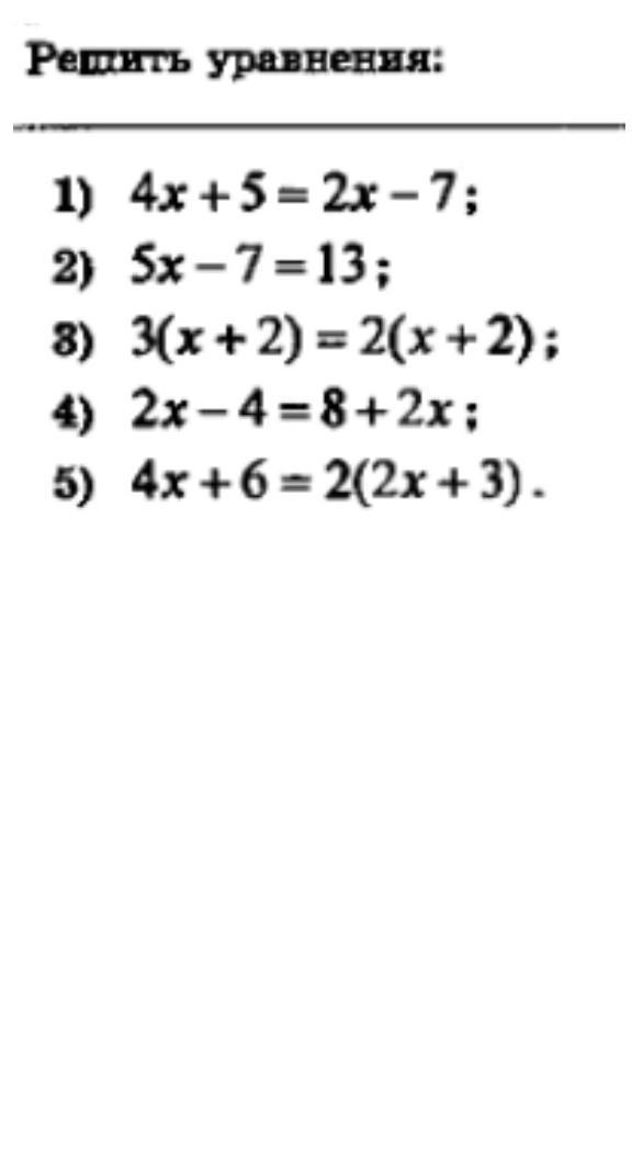
1) 4x+5=2x-7

4x-2x=-7+5

2x=-2

x=-1

2) 5x-7=13

5x=13+7

5x=20

x=4

3) 3(x+2)=2(x+2)

3x+6=2x+4

3x-2x=4-6

x=-2

4)2x-4=8+2x

2x-2x=8-4

(корня уравнения нету)

5) 4x+6=2(2x+3)

4x+6=4x+6

(y=x, это конец уравнения)


dasha23326: спасибо!
dassssssssshka: рада помочь
Ответ дал: polleoka
2
вот) если что все правильно) я отличница по математике)
Приложения:

dasha23326: спасибо!
polleoka: обращайся)
dasha23326: погоди, это ты которая писала про фотомат?
Вас заинтересует