Ответы
Ответ дал:
0
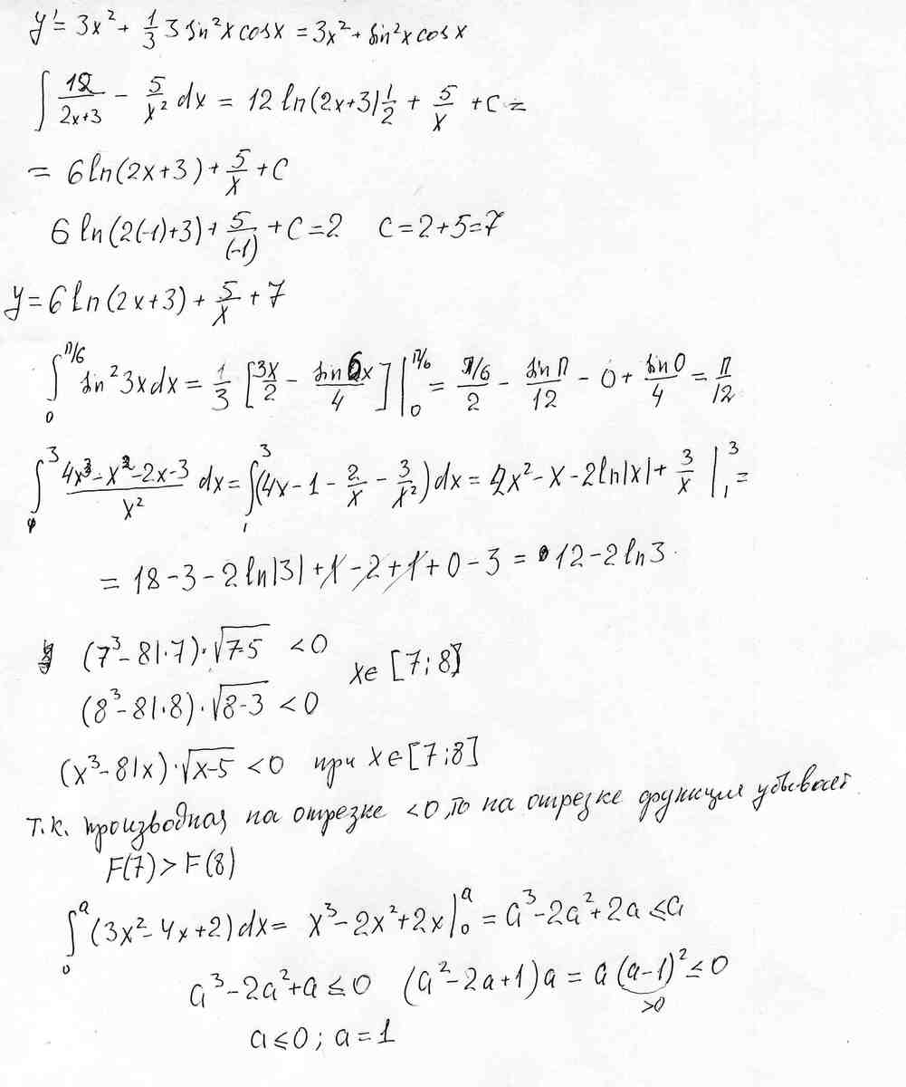
площадь фигуры уже находили, остальное в файле
Приложения:

Вас заинтересует
8 лет назад
10 лет назад
10 лет назад
10 лет назад
10 лет назад