Ответы
Ответ дал:
0
Ответ:
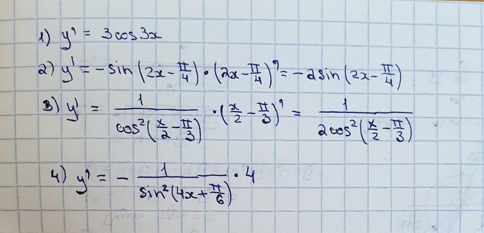
решение на фотографии.
Приложения:

Ответ дал:
0
Ответ:
Пошаговое объяснение:
1)y=sin3x
y'=cos3x * (3x)'=3cos3x
2)y=cos(2x-π/4)
y'=-sin(2x-π/4)*(2x-π/4)'=-2sin(2x-π/4)
3)y=tg(x/2-π/3)
y'=1/cos²(x/2-π/3)*(x/2-π/3)'=1/2cos²(x/2-π/3)
4)y=ctg(4x+π/6)
y'=-1/sin²(4x+π/6)*(4x+π/6)'=-4/sin²(4x+π/6)
Вас заинтересует
2 года назад
2 года назад
2 года назад
9 лет назад