Найдите значение выражения:
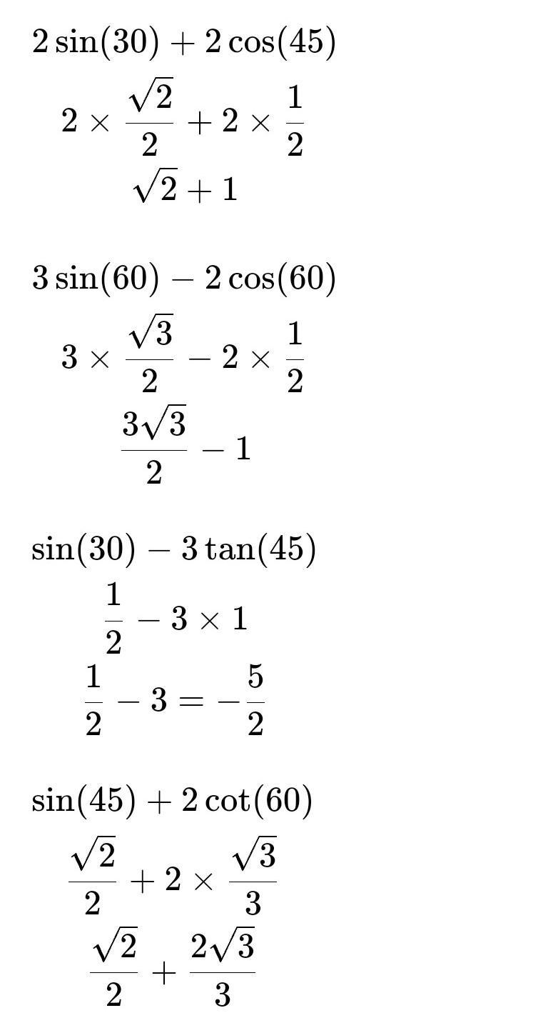
1) 2sin30° + 2соѕ45;
2) 3sin60° — 2cos60°;
3) sin30° — Зtg45°;
4) sin45° + 2сtg60°.
ghuuubhpp:
нашли?
Ответы
Ответ дал:
22
Ответ:
на фотке
Объяснение:
внизу на фото
............................
Приложения:

Вас заинтересует
2 года назад
2 года назад
2 года назад
7 лет назад
7 лет назад
9 лет назад