• Предмет: Алгебра
  • Автор: mazurets07
  • Вопрос задан 3 года назад

помогите срочно 60 баллов

Приложения:

maryap2007: Ох, мой любимый Якласс....Сорри помочь не могу, сама постоянно одноклассников прошу.

Ответы

Ответ дал: Мозгокошка
1

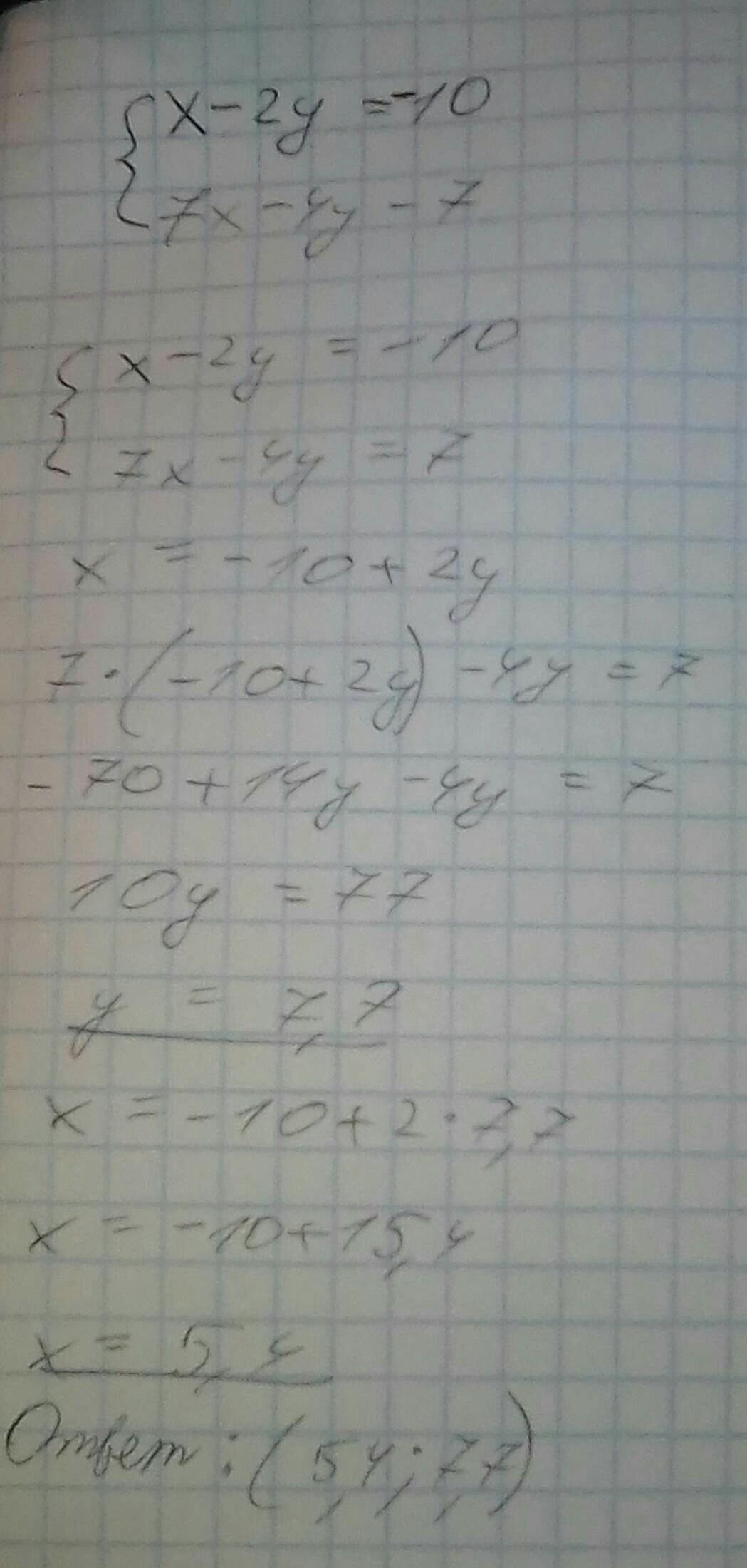
Ответ:(5,4;7,7)

Надеюсь помогла) удачи)

Приложения:
Вас заинтересует