• Предмет: Математика
  • Автор: Semen1590
  • Вопрос задан 3 года назад

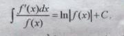
2. Вычислить неопределенные интегралы используя формулу

Приложения:

Ответы

Ответ дал: Miroslava227
1

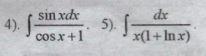
4.

\int\limits \frac{ \sin(x)dx }{ \cos(x)  + 1}  \\

( \cos(x)  + 1)' =  -  \sin(x)

добавим в числитель минус:

 - \int\limits \frac{ -  \sin(x) dx}{  \cos(x)  + 1 }  =  - \int\limits \frac{d( \cos(x) + 1) }{ \cos(x)  + 1}  =  \\  =  -  ln( \cos(x) + 1 )  + C

5.

\int\limits \frac{dx}{x(1 +  ln(x)) }  \\

(1 +  ln(x)) ' =  \frac{1}{x}  \\

\int\limits \frac{1}{x}  \times \frac{dx}{ ln(x)  + 1}  = \int\limits \frac{d( ln(x)) }{1 +  ln(x) }  =  \\  =\int\limits \frac{d (ln(x)  + 1)}{1 +  ln(x) }  =  ln( ln(x) + 1 )  + C

Вас заинтересует