Ответы
Ответ дал:
1
Ответ:
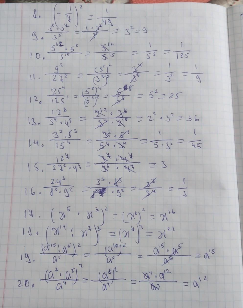
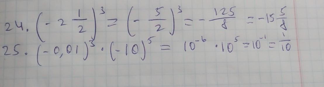
ответ на ваше задание на фото
Приложения:



Вас заинтересует
2 года назад
2 года назад
2 года назад
7 лет назад
9 лет назад