• Предмет: Химия
  • Автор: 0755tipzsb
  • Вопрос задан 3 года назад

помогите по химии 8 класс​

Приложения:

Ответы

Ответ дал: svetka1574
1

Ответ:

Объяснение:

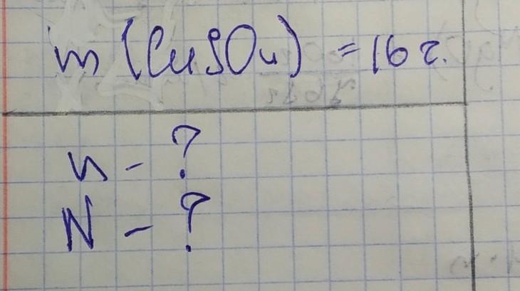
n(CuSO4) = m / М = 16 г / 160 г/моль = 0,1 моль

N(CuSO4) = n * Na = 0,1 моль * 6,02*10²³ 1/молекул = 6*10²² молекул

Вас заинтересует