• Предмет: Математика
  • Автор: vahabovamadina
  • Вопрос задан 3 года назад

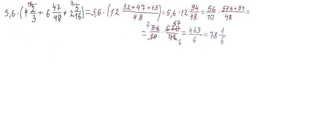
Вычеслите наиболее удобным способо: 5,6•4 2/3+6 47/48•5,6+2 5/16 •5,6
ПРОШУ СРОЧНО СКОРО НАДО БУДЕТ СДАВАТЬ​

Ответы

Ответ дал: den347473
2

вынесем общий множитель за скобки и приведем дроби к общему знаменателю

Приложения:
Вас заинтересует