• Предмет: Алгебра
  • Автор: happyboxes75
  • Вопрос задан 3 года назад

Найти значение выражения, если..

Приложения:

Ответы

Ответ дал: efimkorolev03
1

Ответ:

f(x)∈ [-0,1 ; 5,9]

Объяснение:

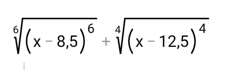
f(x) = \sqrt[6]{(x-6)^6} } + \sqrt[4]{(x-12,5)^4} = x - 6 + x - 12,5 = 2x - 18,5\\

Если 9,2 <= x <= 12,2 , то нужно определить пределы решения f(x):

При x = 9,2 f(x) = 18,4 - 18,5 = -0,1

При x = 12,2 f(x) = 24,4 - 18,5 = 5,9

f(x)∈ [-0,1 ; 5,9]

Вас заинтересует