• Предмет: Алгебра
  • Автор: zemliansckyivan
  • Вопрос задан 3 года назад

Помогите решить практикум по квадратным урαβнениям

Приложения:

Ответы

Ответ дал: Elo4kaw
1

Произведение множителей равно нулю,если один из множителей равен нулю.

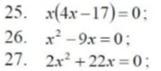
25).

х(4х -17)=0

х=0 4х-17 =0 4х=17 х= 4,25

Ответ : 0 ; 4,25

Или

4х² -17х= 0

D= b²- 4ac=289- 0= 289 D >0 -два корня

x1= 0

x2= -b/2а= 17/8=4,25

Ответ: 0 ; 4,25

26).

х²-9х =0

х(х-9) =0

х=0 х-9= 0 х= 9

26).

2х²+22х=0

2х(х+ 11) =0

2х=0

х=0

х+11=0

х= -11

Ответ: 0; -11.

Вас заинтересует