• Предмет: Математика
  • Автор: gylmiradaniarkaysar
  • Вопрос задан 3 года назад

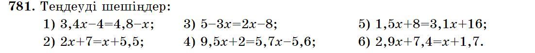
только 2.4.6 пожалуйста помогите это 6 класс

Приложения:

Ответы

Ответ дал: rareabi
1

Ответ:

2х+7=х+5,5

2х-х=5,5-7

х=-1,5

9,5х+2=5,7х-5,6

9,5х-5,7х=-5,6-2

3,8х=-7,6

х=-7,6/3,8

х=-2

2,9х+7,4=х+1,7

2,9х-х=1,7-7,4

1,9х=-5,7

х=-5,7/1,9

х=-3

Вас заинтересует