разложите на множители :
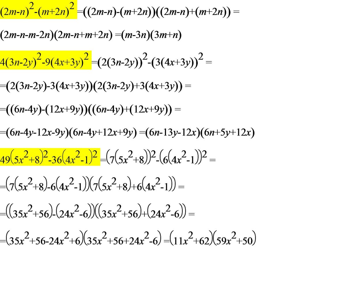
(2m - n)² - (m + 2n)²
4(3n - 2y)² - 9(4x + 3y)²
49(5x² + 8)² - 36(4x² - 1)²
Ответы
Ответ дал:
0
файл
------------------------------------
Приложения:

Вас заинтересует
2 года назад
8 лет назад
10 лет назад
10 лет назад
10 лет назад