Ответы
Ответ дал:
1
Ответ:
Ответ дал:
0
Ответ:
Надеюсь помогла.
Сделай пожалуйста лучшим ответом . Тебе не трудно мне приятно. Спасибо!
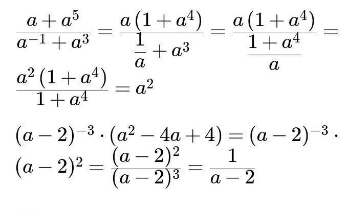
Приложения:

Вас заинтересует
2 года назад
2 года назад
2 года назад
2 года назад
7 лет назад
9 лет назад
9 лет назад