• Предмет: Алгебра
  • Автор: grishakryukov
  • Вопрос задан 3 года назад

Нужна помощь, не знаю как решать даю 30 баллов

Приложения:

Ответы

Ответ дал: dama2001
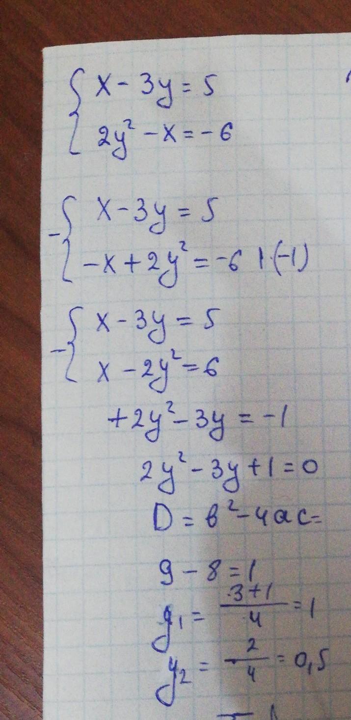
1

Объяснение:

Решила только первое, не сверялась, верное оно или нет, к утру могу решить и вторую задачу, и свериться

Приложения:

dama2001: будет сделано
dama2001: до 7
grishakryukov: Спасибо хоть за первое
dama2001: первое задание верное
dama2001: я решила его, буду ждать, когда вы зайдёте в сеть
dama2001: ответ (-1;0)(-2;-6)
dama2001: если хотите полное решение, то пришлите свой номер ватсапа, я туда скину, а то здесь я уже не смогу написать длинное решение и фотку прикрепить уже никак
dama2001: вы здесь?
grishakryukov: Спасибо уже не нужно :3
dama2001: хорошо
Вас заинтересует