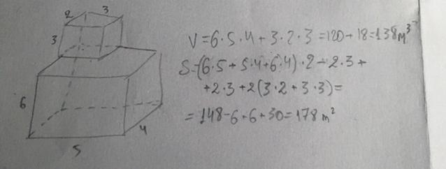
1. Из прямоугольных параллелепипедов составили фигуру так, как показано на
рисунке. Найдите объём этой фигуры и площадь её поверхности.
Приложения:

Ответы
Ответ дал:
2
1) Тело состоит из двух параллелепипедов
Размеры меньшего 3•2•3
Размеры большего 6•4•4
V = abc
Vм. = 3•2•3 = 18 кубических единиц - объем меньшего параллелепипеда.
Vб. = 6•4•5 = 120 кубических единиц - объем меньшего параллелепипеда.
V = Vм. + Vб.
V = 18 + 120 = 138 кубических единиц - объем тела.
2) Площадь поверхности тела равна сумме поверхностей его граней.
S = 2 • (ab + bc + ac)
Поскольку в верхнем меньшем параллелепипеде не учитывается одна нижняя грань, то
Sм. = 2•(2•3 + 3•3) + 2•3 =
= 2•(6 + 9) + 6 = 2•15 + 6 = 36 кв.единиц - площадь поверхности верхнего меньшего параллелепипеда без нижней грани.
В нижнем большом параллелепипеде учитывается только часть верхней грани.
S части верхней грани большего параллелепипеда = S верхней грани большего параллелепипеда - Sнижней грани меньшего параллелепипеда
Sчасти = 5•4 - 2•3 =
= 20 - 6 = 14 кв.единиц - площадь части верхней грани большего параллелепипеда.
Sб. = 2•(5•6 + 4•6) + 4•5 =
= 2•(30 + 24) + 20 = 2•54 • 20 = 128 кв.единиц - площадь поверхности нижнего большего параллелепипеда без верхней грани.
S = Sм. + Sб. + Sчасти
S = 36 + 128 + 14 = 178 кв.единиц - площадь поверхности тела, состоящего из двух параллелепипедов.
Ответ: 138 куб.единиц; 178 кв.единиц.
Размеры меньшего 3•2•3
Размеры большего 6•4•4
V = abc
Vм. = 3•2•3 = 18 кубических единиц - объем меньшего параллелепипеда.
Vб. = 6•4•5 = 120 кубических единиц - объем меньшего параллелепипеда.
V = Vм. + Vб.
V = 18 + 120 = 138 кубических единиц - объем тела.
2) Площадь поверхности тела равна сумме поверхностей его граней.
S = 2 • (ab + bc + ac)
Поскольку в верхнем меньшем параллелепипеде не учитывается одна нижняя грань, то
Sм. = 2•(2•3 + 3•3) + 2•3 =
= 2•(6 + 9) + 6 = 2•15 + 6 = 36 кв.единиц - площадь поверхности верхнего меньшего параллелепипеда без нижней грани.
В нижнем большом параллелепипеде учитывается только часть верхней грани.
S части верхней грани большего параллелепипеда = S верхней грани большего параллелепипеда - Sнижней грани меньшего параллелепипеда
Sчасти = 5•4 - 2•3 =
= 20 - 6 = 14 кв.единиц - площадь части верхней грани большего параллелепипеда.
Sб. = 2•(5•6 + 4•6) + 4•5 =
= 2•(30 + 24) + 20 = 2•54 • 20 = 128 кв.единиц - площадь поверхности нижнего большего параллелепипеда без верхней грани.
S = Sм. + Sб. + Sчасти
S = 36 + 128 + 14 = 178 кв.единиц - площадь поверхности тела, состоящего из двух параллелепипедов.
Ответ: 138 куб.единиц; 178 кв.единиц.
Ответ дал:
2
Ответ смотри на фото
Приложения:

Вас заинтересует
2 года назад
2 года назад
2 года назад
2 года назад
7 лет назад
7 лет назад
9 лет назад