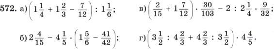
Решите срочно пожалуйста даю 95 баллов за 2 примера
решите по действиям под буквами (а,б)
Приложения:

vladimirmalkin:
foverlord510 ты блин просто ответы а где само решение где
Ответы
Ответ дал:
0
Ответ:
Решение в файле.
Пошаговое объяснение:
Приложения:

Вас заинтересует
2 года назад
2 года назад
2 года назад
2 года назад
9 лет назад
9 лет назад