• Предмет: Алгебра
  • Автор: uliasheremet15
  • Вопрос задан 3 года назад

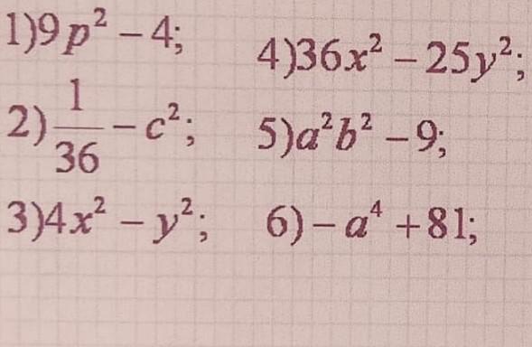
разложите на множители​

Приложения:

Ответы

Ответ дал: wieslawlozickip5w1nd
3

Ответ:

Объяснение:

1)9p²-4=(3p)²-2²=(3p-2)(3p+2)

2)1/36-c²=(1/6)²-c²=(1/6-c)(1/6+c)

3)4x²-y²=(2x)²-y=(2x-y)(2x+y)

4)36x²-25y²=(6x)²-(5y)²=(6x-5y)(6x+5y)

5)a²b²-9=(ab)²-3²=(ab-3)(ab+3)

6)-a^4+81=-(a^4-81)=-((a²)²-9²)=-(a²-9)(a²+9)=(9-a²)(a²+9)

Вас заинтересует