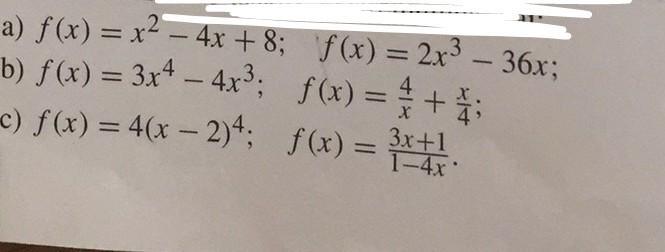
Найдите интервалы возрастания и убывания значений функции y=f(x), точки минимума и максимума, экстремумы, когда:
Приложения:

Ответы
Ответ дал:
1
Ответ:
Объяснение:
!!!!!!!!!!!!...............!!!!!
Приложения:




Вас заинтересует
2 года назад
2 года назад
2 года назад
7 лет назад
9 лет назад