• Предмет: Алгебра
  • Автор: alixdrak57
  • Вопрос задан 3 года назад

Найменше значення при якому а маэ эдиний
розвязок.

Приложения:

Ответы

Ответ дал: NNNLLL54
3

Ответ:

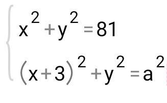
Единственное решение система   \left\{\begin{array}{l}x^2+y^2=81\\(x+3)^2+y^2=a^2\end{array}\right   имеет при  a=6 .

При  а=6 две окружности касаются друг друга в единственной точке  (-9;0) .  Смотри рисунок .

Приложения:

suppe3333335: Помогите пожалуйста
Вас заинтересует