• Предмет: Математика
  • Автор: Аноним
  • Вопрос задан 3 года назад

помогите ..............​

Приложения:

Ответы

Ответ дал: bababa2004
0

Ответ:

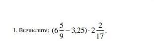
(6\frac{5}{9\\} - 3,25) * 2\frac{2}{17}

(\frac{59}{9\\} - 3,25) * 2\frac{2}{17}

(\frac{59}{9\\} -\frac{13}{4}) * 2\frac{2}{17}

(\frac{59}{9\\} -\frac{13}{4}) * \frac{36}{17}

\frac{119}{36} * \frac{36}{17}

119 * \frac{1}{17}

7

Ответ: 7

Вас заинтересует