Ответы
Ответ дал:
1
ответ во вложении::::::
Приложения:

Аноним:
дай лучший ответ пж это 100% правильно
Ответ дал:
1
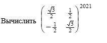
странные четыре числа в скобке
предположу что произведение двух верхних делится на произведение двух нижних, потому что иначе ничего не получится
перемножаем верхние
и нижние
получаем дробь. если дробь делится на дробь то во второй числитель и знаменатель меняются местами
сокращаем, получается -1
1 в любой степени 1,
степень нечётная, значит минут не уходит
ответ -1
Вас заинтересует
2 года назад
2 года назад
2 года назад
2 года назад
7 лет назад
7 лет назад