• Предмет: Алгебра
  • Автор: kek463406
  • Вопрос задан 3 года назад

СРОЧНО!!! Помогите пожалуйста
Решите уравнение:
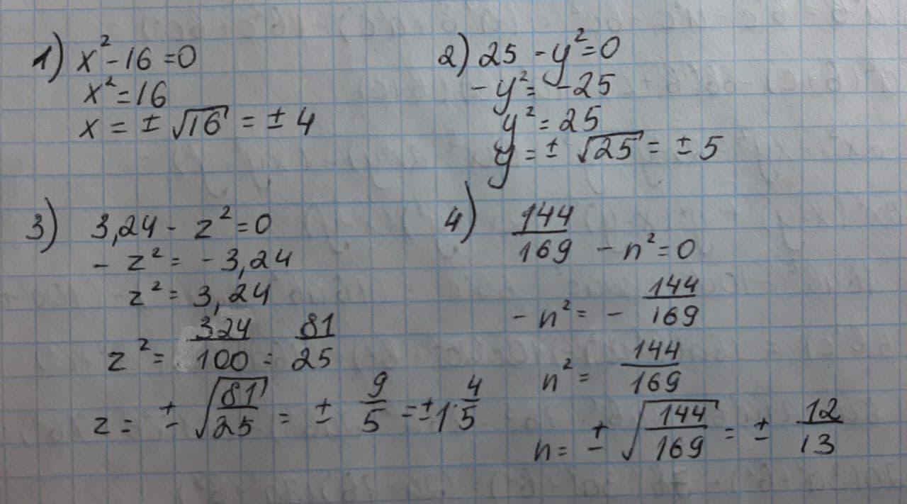
1) х^2 - 16 = 0;
2) 25 - y^2 = 0;
3) 3,24 - z^2 = 0;
4) 144/169 - n^2 = 0;
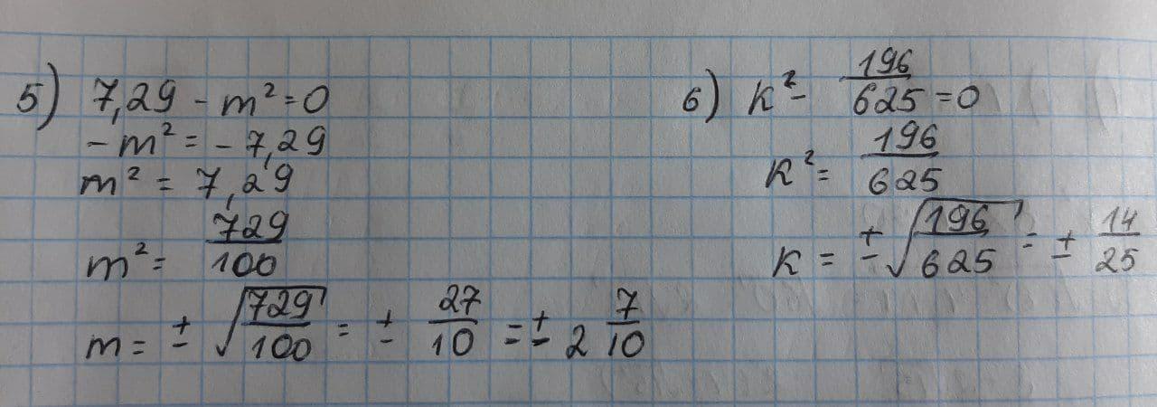
5) 7,29 - m^2 = 0;
6) k^2 - 196/625 = 0.

Ответы

Ответ дал: sobakazabiyaka
33

Ответ прикрепил на фото ниже

Приложения:

holop4ick26: б#### нормально решил как 9 клашка
Аноним: 7 класс... какие нахрен корени
dayana3415: 7 класс,какие могут быть корни?
zitnikovamilana7: ++
ajgerimbolatbekova72: пи
ajgerimbolatbekova72: пец
ajgerimbolatbekova72: я сразу не заметила
Вас заинтересует