• Предмет: Математика
  • Автор: tazhimuratovaasem628
  • Вопрос задан 3 года назад

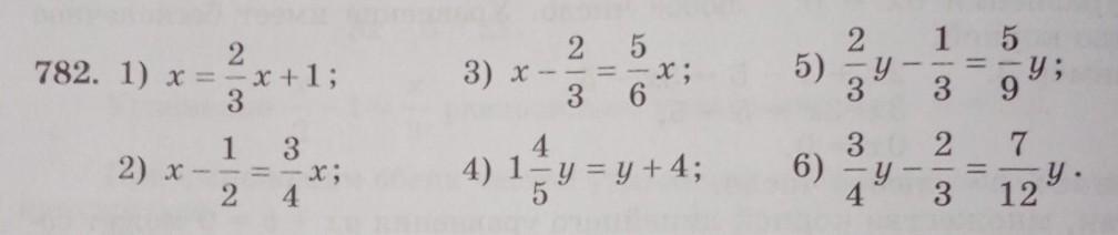
помогите пж
номер 782​

Приложения:

Ответы

Ответ дал: ruslanab0510
0

вот.

решение на фотографиях

Приложения:
Вас заинтересует