Ответы
Ответ дал:
2
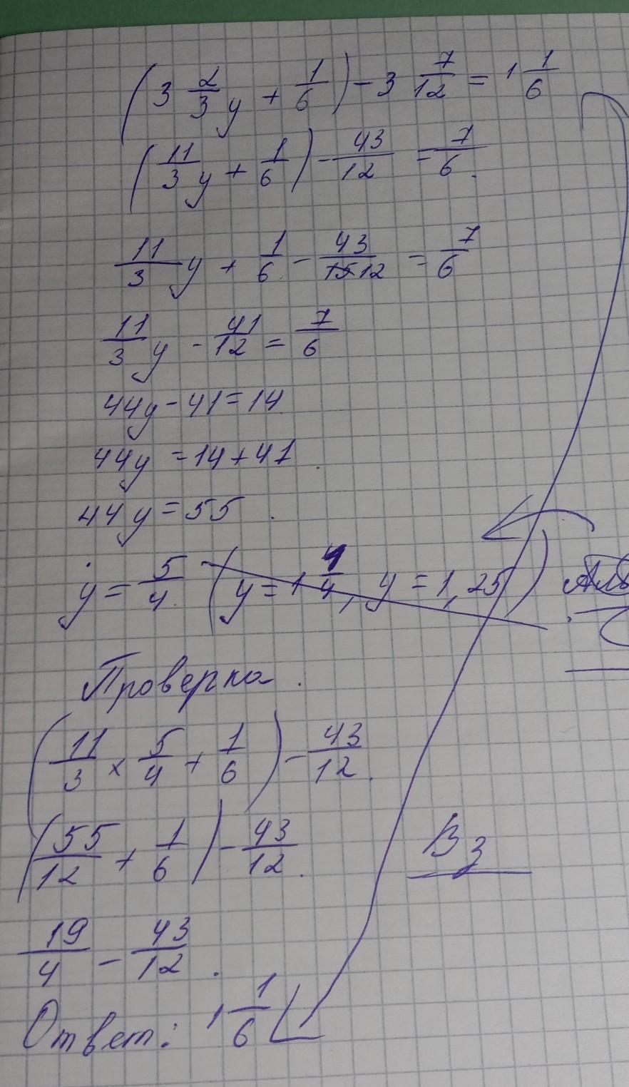
Ответ и решение на картинке...↑
Всё правильно и сорри за зачеркнутое
Удачи)
Приложения:

aruzanzumahan57:
спасибо выручил
Вас заинтересует
2 года назад
2 года назад
2 года назад
2 года назад
7 лет назад
7 лет назад
9 лет назад