х+у=?
ответы:
1) 14
2) 24
3) 34
4) 44
с решением пожалуйста
Приложения:

Avantgardе:
Система?
Ответы
Ответ дал:
2
Ответ:
2)24
Пошаговое объяснение:
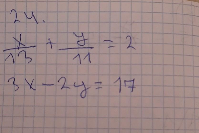
х/13 + у/11 = 2, |×(13×11)
3х - 2у = 17;
11*13*х/13 + 11*13*у/11 = 2*13*11
3х - 2у = 17;
11х + 13у = 2*13*11, |×2
3х - 2у = 17;. |×13
2*11х + 2*13у = 2*2*13*11,
13*3х -13*2у = 13*17;
22х + 26у = 4*13*11,
+
39х - 26у = 13*17;
_________________
(22х + 39х) + (26у-26у) = 13*(4*11+17)
61х = 13*61
х= 61*13/61
х = 13
из условия 3х - 2у=17, то есть
3*13 - 2*у = 17
39 -2у = 17
39-17 = 2у
22 = 2у
у=22/2
у = 11
Следовательно, х+у=13+11=24
Ответ дал:
2
13 + 11 = 24
Ответ: 2
Вас заинтересует
2 года назад
2 года назад
7 лет назад
9 лет назад
9 лет назад