• Предмет: Информатика
  • Автор: nickitamaier
  • Вопрос задан 3 года назад

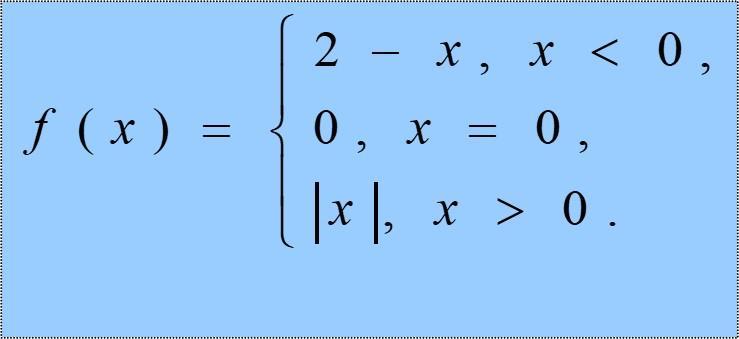
Дано действительное число х. Вычислить f(x), если

Приложения:

Ответы

Ответ дал: restIess
2

Python:

x = float(input())

if x == 0:

   y = 0

elif x > 0:

   y = abs(x)

elif x < 0:

   y = 2 - x

print("f({}) = {}".format(x,y))

Pascal:

var

x,y : real;

begin

readln(x);

if x = 0 then

y := 0

else

if x > 0 then

y := abs(x)

else

if x < 0 then

y := 2 - x;

write('F(x)=',y:5:5);

end.

Приложения:

nickitamaier: Не правильгл
restIess: в каком месте?
nickitamaier: Точнее надо на паскале
restIess: В задании это не указано
nickitamaier: Забыл
restIess: Добавил паскаль
Вас заинтересует