• Предмет: Алгебра
  • Автор: adina0kenzhebek
  • Вопрос задан 3 года назад

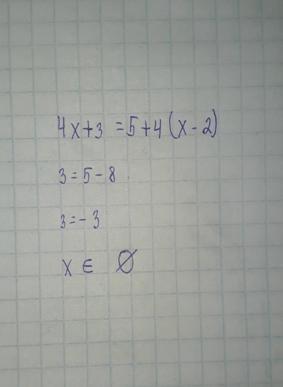
Решите уравнение: 4х+3=5+4(х-2) пожалуйста помогите​

Ответы

Ответ дал: esbolayevva
3

можно отметить как лучший ответ?)

Приложения:

adina0kenzhebek: Спасибо, и потом отмечу лучший ответ
Вас заинтересует