• Предмет: Математика
  • Автор: Аноним
  • Вопрос задан 3 года назад

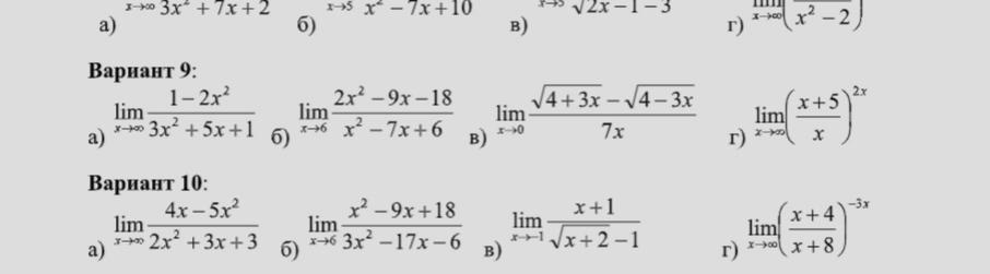
Решить 10 вариант, короткие записи и ответы не нужны, полное решение

Приложения:

Ответы

Ответ дал: artikartik68
0

Ответ:это точно 1-4 классссс??????

Пошаговое объяснение:

Вас заинтересует