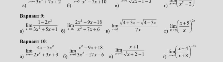
Решение и ответ полностью, если напишите бред какой-то, кидаю жалобу
10 вариант, все
Приложения:

Аноним:
Помог бы но сам незнаю как делать:,(
Ответы
Ответ дал:
0
используй фотомес, можешь кидать жалобу, но там все есть что тебе нужно
Вас заинтересует
2 года назад
2 года назад
2 года назад
7 лет назад
9 лет назад