Ответы
Ответ дал:
3
Ответ:
Пошаговое объяснение:
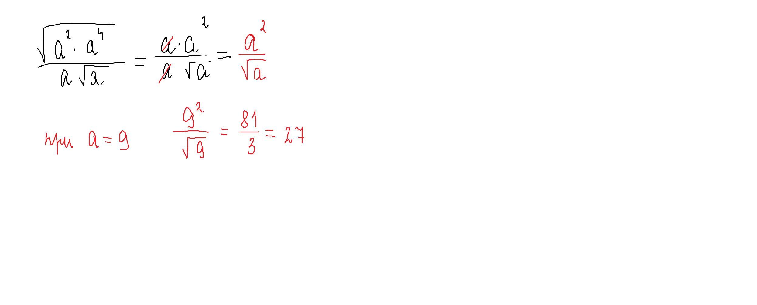
решение внизу
Приложения:

Вас заинтересует
2 года назад
2 года назад
2 года назад
2 года назад
7 лет назад
9 лет назад