• Предмет: Математика
  • Автор: abdullayevaafarangiz
  • Вопрос задан 3 года назад

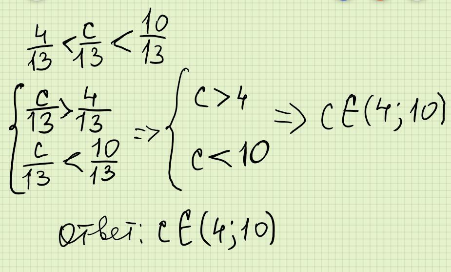
При каких значениях c дробь с/13 будет большой дроби 4/13но меньше дроби 10/13запишите все дроби​

Ответы

Ответ дал: Palvanov
3

Ответ:

Решение на скрине

Пошаговое объяснение:

Приложения:
Вас заинтересует