• Предмет: Математика
  • Автор: daraursul15
  • Вопрос задан 3 года назад

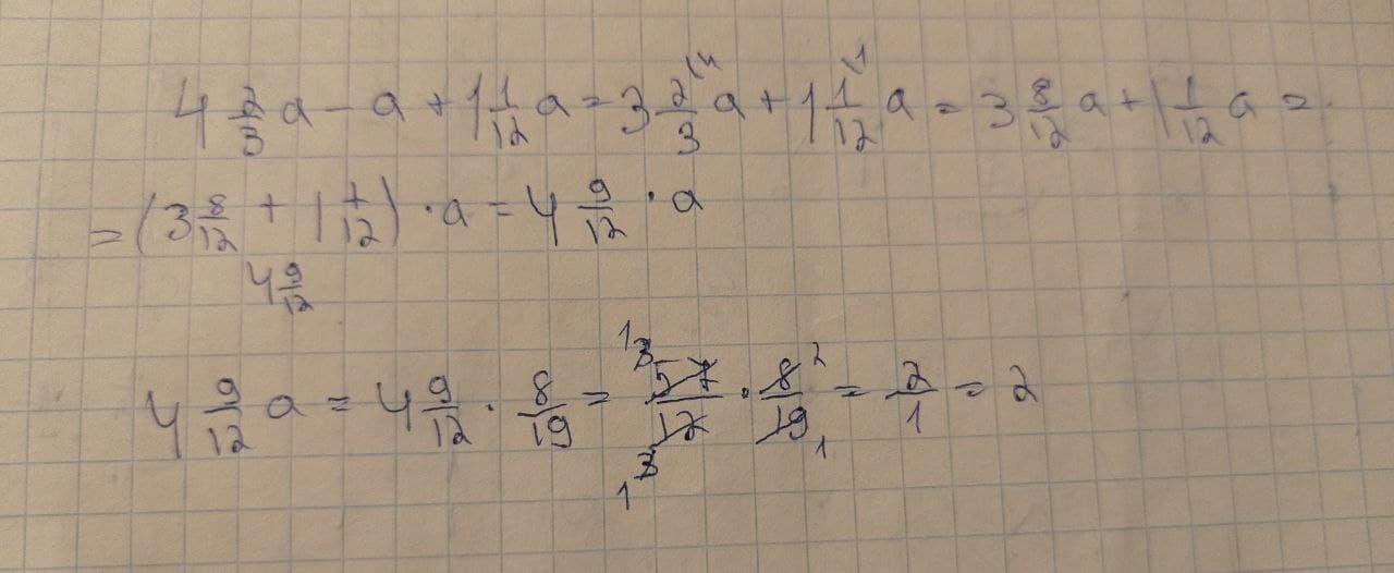
упростите выражение 4 целых 2/3 а - а + 1 целая 1/12 а и найдите его значение при А равняется 8/19​

Ответы

Ответ дал: sausage19
0

Ответ:

2

Пошаговое объяснение:

Приложения:
Вас заинтересует