• Предмет: Алгебра
  • Автор: Аноним
  • Вопрос задан 3 года назад

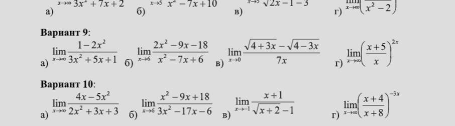
10 вариант , решить полностью

Приложения:

zuriatagabekova: 1.ответ -5/2
Аноним: Ну а нельзя на листочке расписать?, я тебе в тест так и напишу?
zuriatagabekova: В смысле в тест мне
Аноним: Напиши полное решение, а не только ответ, ответ я сам знаю
Аноним: Можешь помочь?

Ответы

Ответ дал: zuriatagabekova
0

Ответ:

Объяснение:

Нужно разделить на наибольшую степень

Приложения:

Аноним: Ну сфоткай пожалуйста чуть подальше, половина не видно
zuriatagabekova: Нет нельзя
Аноним: А как мне писать тогда, если половина не видно
zuriatagabekova: Даже очень отл
Аноним: А 3 и 4 пример решишь?
zuriatagabekova: Порешу
Аноним: Хорошо, жду
zuriatagabekova: А где спасибо
Аноним: Спасибо
zuriatagabekova: Ни так а на верху спасибо
Вас заинтересует