Ответы
Ответ дал:
0
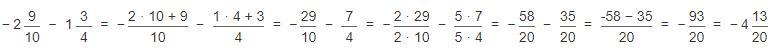
Ответ представлен на фото:
Приложения:

Ответ дал:
0
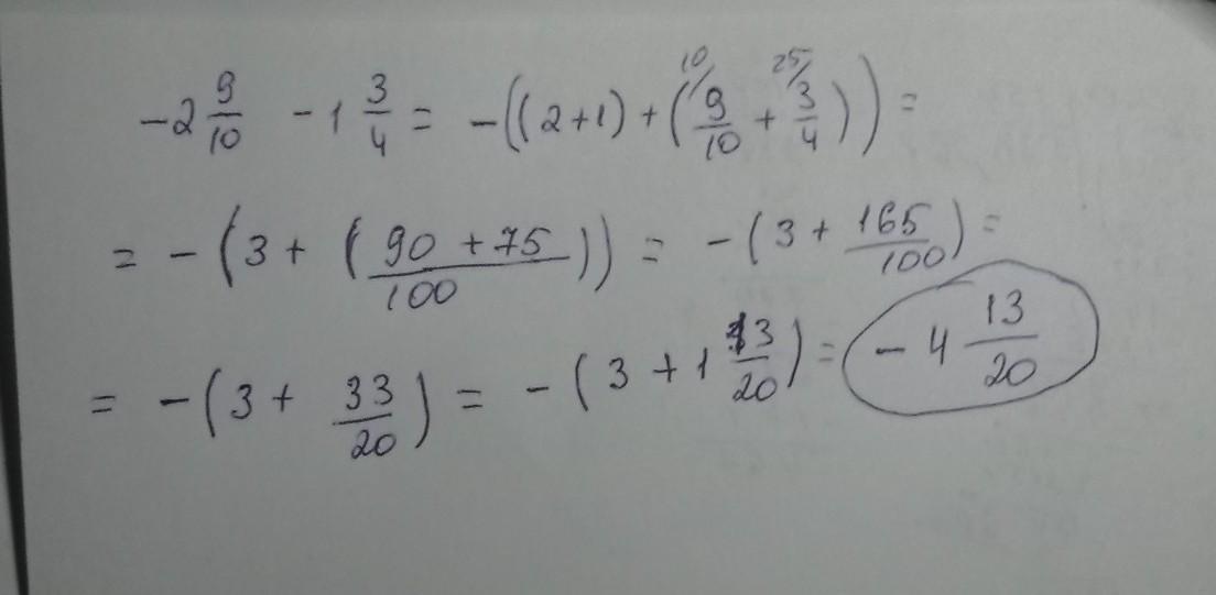
ответ :
Приложения:

Вас заинтересует
2 года назад
2 года назад
2 года назад
7 лет назад
7 лет назад
9 лет назад
9 лет назад