• Предмет: Математика
  • Автор: boduuuun
  • Вопрос задан 3 года назад

ПОМОГИТЕ ПОЖАЛУЙСТА ДАМ 30 БАЛЛОВ

Приложения:

Ответы

Ответ дал: mgdev7752
0

Ответ:

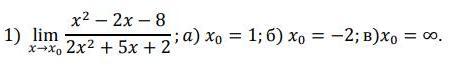
а) подставляя значения х=0,8 в числитель и знаменатель, получите :

   (1-2-8)/(2+5+2)= -9/9=1

б) корни уравнения в числителе дроби х=4 и х=-2, значит это уравнение можно представить в виде (х-4)(х+2).

⇒ корни уравнения в знаменателе дроби х=-2 и х=-0,5, значит это уравнение можно представить в виде (х+2)(х+0,5)

⇒ тогда вся дробь будет представлена в виде (х-4)·(х+2)/(х+2)·(х+0,5).

 ⇒ сокращая подобные члены знаменателя и числителя Вы получите уже дробь в виде (х-4)/(х+0,5) или подставляя значения х=-2 получите

 (-2-4)/(-2+0,5)=-6/-1,5=4

в) при решении используйте полученное уже в (б):  (х-4)/(х+0,5).

Далее представим это как x/(х+0,5) - 4/(х+0,5)  или разделив далее только числитель и знаменатель первой дроби на х, получите (х/x)/(x/x+0,5/x) - 4/(х+0,5) ⇒ 1/(1+0)-4/∞⇒1-0=1

УДАЧИ!

Пошаговое объяснение:

Вас заинтересует