Ответы
Ответ дал:
1
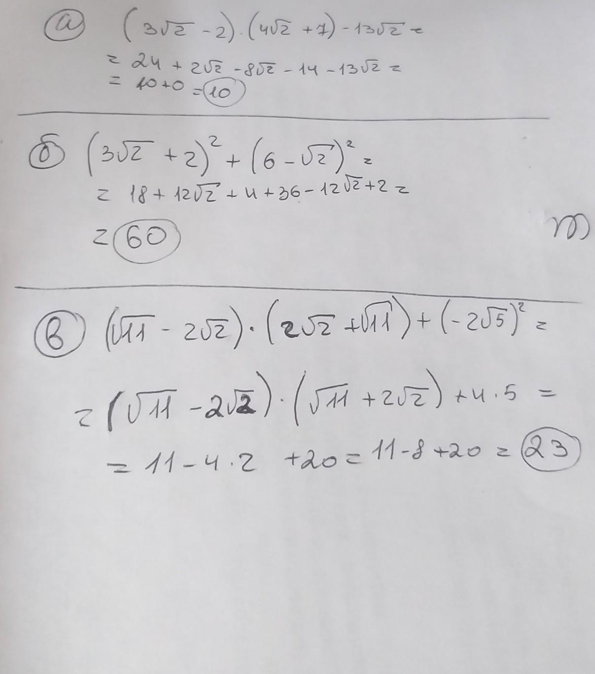
держите решение....))))))))
Приложения:

sahok200666:
спасибо
Вас заинтересует
2 года назад
2 года назад
2 года назад
8 лет назад
8 лет назад
9 лет назад
9 лет назад