• Предмет: Математика
  • Автор: marshalbryus
  • Вопрос задан 3 года назад

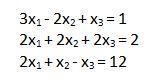
Решение матрицы методом Гаусса:

Приложения:

Ответы

Ответ дал: pupok267
1

Ответ:

morgen krytoi

Пошаговое объяснение:

Вас заинтересует