Ответы
Ответ дал:
0
Ответ:
Объяснение:
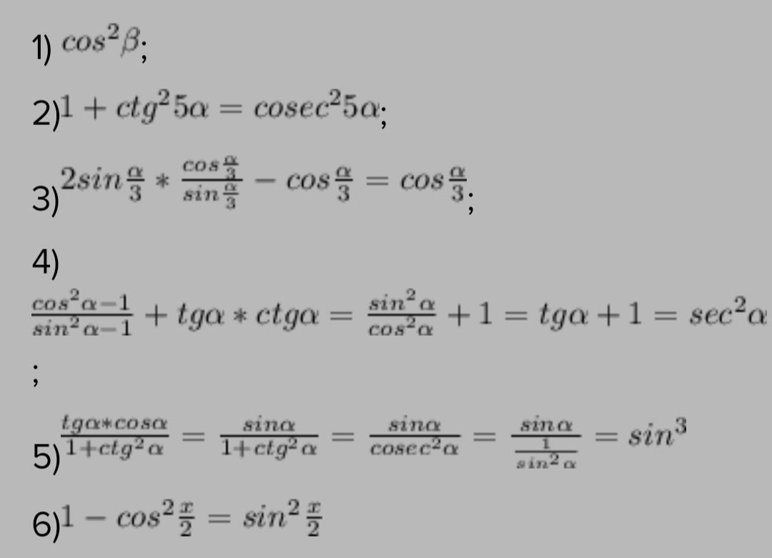
1) ;
2);
3);
4);
5)
6)
Ответ дал:
0
••••••Пожалуйста•••••••
•
•. °
•
Приложения:

Вас заинтересует
2 года назад
2 года назад
2 года назад
7 лет назад
7 лет назад