• Предмет: Алгебра
  • Автор: amina020167
  • Вопрос задан 3 года назад

помогите пожалуйста умоляю​

Приложения:

Ответы

Ответ дал: kopn48
1

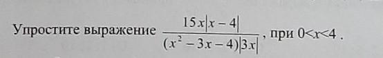
\frac{15x|x-4|}{(x^2-3x-4)|3x|}\\   при   0<x<4

Сначала разберемся с модулями. Чтобы открыть их без смены знака, нужно чтобы подмодульное выражение было больше или равно 0.

Получаем:

x-4>0\\3x> 0

x> 4\\x>0

При пересечении с  0<x<4 Второе неравенство всегда больше нуля, а первое не имеет решений, это значит, что не существует таких x, при которых неравенство x-4\geq 0. Поэтому первый модуль раскрываем с минусом

\frac{-15x(x-4)}{(x^2-3x-4)3x}\\\\\frac{-5x(x-4)}{x^2-3x-4}\\\\\frac{-5x(x-4)}{(x-4)(x+1)}\\\\\frac{-5x}{x+1}\\

Вас заинтересует