• Предмет: Математика
  • Автор: samigullinaanastasia
  • Вопрос задан 3 года назад

пжжжжжжжжжжжжжжжжжжжжжжжж​

Приложения:

Ответы

Ответ дал: signal22288
1

Ответ:

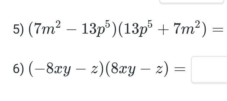
           4         10

5)=49m -169p

    2        2  2

6)=z  -64x   y

Пошаговое объяснение:

Вас заинтересует