• Предмет: Математика
  • Автор: Raya56
  • Вопрос задан 3 года назад

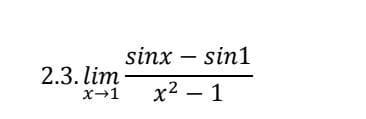
вычислить пределы : срочно

Приложения:

Ответы

Ответ дал: domnikOmaths
1

Ответ:

ниже

Пошаговое объяснение:

\lim_{x \to 1} \frac{sinx - sin1}{x^{2}-1} = \frac{sin1 - sin1}{1^{2}-1} = \frac{0}{0} =  \infty

Вас заинтересует