• Предмет: Алгебра
  • Автор: Herf
  • Вопрос задан 11 лет назад

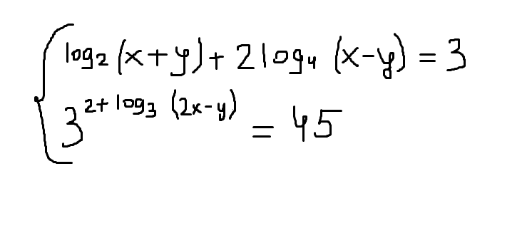
Решите систему уравнений:

Приложения:

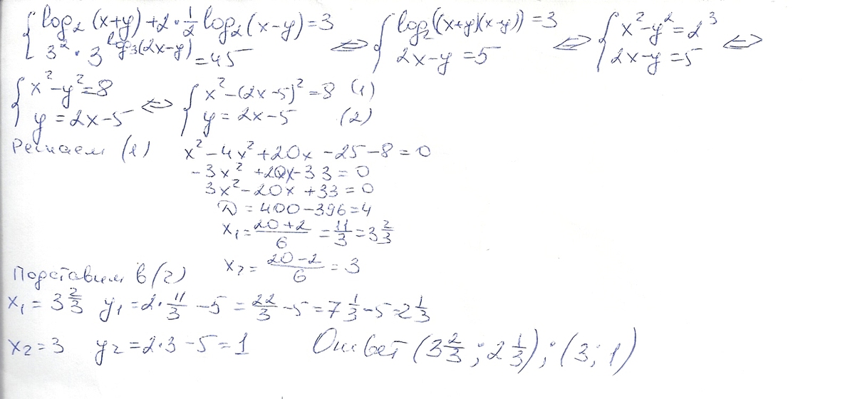
Ответы

Ответ дал: Yena
0
,,,,,,,,,,,,,,,,,,,,,,,,,,,,,,,,,,,,,,,,,,,,,,,,,,,,,,,,,,
Приложения:
Вас заинтересует