• Предмет: Математика
  • Автор: Adelya594
  • Вопрос задан 3 года назад

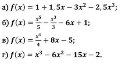
НАЙТИ ПРОИЗВОДНУЮ ФУНКЦИИ!!!!!!!!!!!!!!!!!!!!!!​

Приложения:

Ответы

Ответ дал: dmasya
1

Ответ:

Пошаговое объяснение:

1) y'=1.5-6x-7.5x^2+c\\2)y'=x^4-x^2-6+c\\3)y'=x^3 +8+c\\4) y'=3x^2-12x-15+c

Вас заинтересует