• Предмет: Математика
  • Автор: veronika17038oe
  • Вопрос задан 3 года назад

Помогите решить предел
M=4
N=2

Приложения:

Ответы

Ответ дал: pushpull
1

Ответ:

Пошаговое объяснение:

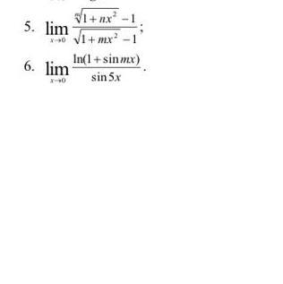
5.

\lim_{x \to 0}\frac{\sqrt[4]{1+2x^2} -1}{\sqrt{1+4x^2} -1}

используя свойство первого замечательного предела, выполним элементарные преобразования

\lim_{x \to 0}\sqrt{4x^2+1} -1} 2x^2

тогда исходный предел будет

\lim_{x \to 0} \frac{\sqrt[4]{2x^2+1} -1}{2x^2}

но

\sqrt[4]{2x^2+1} -1\frac{x^2}{2}

и тогда совсем просто    \lim_{x \to 0} (\frac{x^2}{2*2x^2} ) =  \lim_{x \to 0} \frac{1}{4} = \frac{1}{4}

6.

\lim_{x \to 0} \frac{ln(1+sin4x)}{sin5x}

элементарные преобразования:

sin(4x) ≈ 4x

sin(5x) ≈ 5x

уже легче, получили предел

\lim_{x \to 0} \frac{ln(4x+1)}{5x}

а теперь используем свойство первого замечательного предела и выполним элементарные преобразования:

\lim_{x \to 0} ln(4x+1) = 4x

всё, можем попить кофейку и расслабитьмя, потому как больше уже и делать нечего

\lim_{x \to 0} \frac{4x}{5x} = \lim_{x \to 0} \frac{4}{5} =\frac{4}{5}

Вас заинтересует