• Предмет: Математика
  • Автор: lunevtaya
  • Вопрос задан 3 года назад

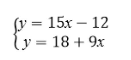
Задана система уравнений. Выясните, какая пара чисел является верным решением системы.
Выберите верный ответ:
а) (2;20)
б) (0;18)
в) (18;18)
Г) (5;63)
ПОМОГИТЕ ПОЖАЛУЙСТА​

Приложения:

Ответы

Ответ дал: xiaozhani
1

Г)

(5;63) подставим вместо х и у.

63=15×5-12=63

63=18+9×5=63


lunevtaya: Спасибо огромное
Ответ дал: daraprivet496
1

Ответ:

г

Пошаговое объяснение:

15х-12=18+9х

15х-9х=18+12

6х=30

х=5

у=18+9*5

у=18+45

у=63

Вас заинтересует