• Предмет: Математика
  • Автор: nikolaenkooksana113
  • Вопрос задан 3 года назад

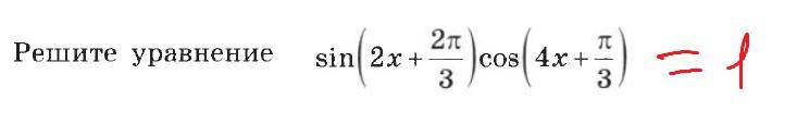
как дорешать уравнение?

Приложения:

Ответы

Ответ дал: nubpolymaster
0

sin(2x+2\pi /3)=1\\cos(4x+\pi/3)=1\\2x+2\pi/3=\pi/2\\x=-\pi/12\\4x+\pi/3=0\\x=-\pi/12

Иксы совпадают, значит это верное решение.

Вас заинтересует